河北:鍋爐大氣污染物排放標準 (征求意見稿)
日前,河北印發《鍋爐大氣污染物排放標準 (征求意見稿)》。標準適用于以燃煤、燃油、燃氣、燃生物質為燃料的單臺出力65t/h以下蒸汽鍋爐以及65t/h以上非發電蒸汽鍋爐、各種容量的熱水鍋爐及有機熱載體鍋爐、各種容量的層燃爐和拋煤機爐。大氣污染物排放限值執行顆粒物10mg/m3、二氧化硫35mg/m3、氮氧化物50mg/m3。
2019年11月1日起,在用鍋爐執行表1規定的大氣污染物排放限值;自本標準實施之日起,新建鍋爐執行表1規定的大氣污染物排放限值。
表1 大氣污染物排放濃度限值
單位:mg/m3(煙氣黑度除外)
|
污染物項目 |
燃煤鍋爐 |
燃油鍋爐 |
燃氣鍋爐 |
燃生物質 |
監控位置 |
|
顆粒物 |
10 |
5 |
5 |
10 |
煙囪或煙道 |
|
二氧化硫 |
35 |
10 |
10 |
35 |
|
|
氮氧化物(以NO2計) |
50 |
30 |
30 |
80 |
|
|
汞及其化合物 |
0.05 |
— |
— |
0.05 |
|
|
一氧化碳 |
|
|
|
200 |
|
|
煙氣林格曼黑度(級) |
≤1 |
煙囪排放口 |
|||
鍋爐大氣污染物排放標準
(征求意見稿)
前言
為貫徹《中華人民共和國環境保護法》、《中華人民共和國大氣污染防治法》等法律、法規,保護環境,防治污染,促進鍋爐生產、運行和污染治理技術的進步,制定本標準。
本標準規定了鍋爐大氣污染物排放限值、監測和管控要求。
鍋爐排放的水污染物、環境噪聲適用相應的國家污染物排放標準,產生固體廢物的鑒別、處理和處置適用國家固體廢物污染控制標準。
本標準由河北省環境保護廳提出。
本標準起草單位:河北省環境工程評估中心、河北科技大學、河北奇正環境科技有限公司。
本標準主要起草人:
本標準由河北省環境保護廳負責解釋。
鍋爐大氣污染物排放標準
1、適用范圍
本標準規定了鍋爐大氣中顆粒物、二氧化硫、氮氧化物、汞及其化合物的最高允許排放濃度限值和煙氣黑度限值,同時還規定了燃煤鍋爐房無組織粉塵排放控制限值。
本標準適用于以燃煤、燃油、燃氣、燃生物質為燃料的單臺出力65t/h以下蒸汽鍋爐以及65t/h以上非發電蒸汽鍋爐、各種容量的熱水鍋爐及有機熱載體鍋爐、各種容量的層燃爐和拋煤機爐。
使用型煤、石油焦、油頁巖、煤矸石、水煤漿、重油、渣油等燃料的鍋爐,參照本標準中“燃煤鍋爐”的污染排放控制要求執行;使用輕柴油、醇基燃料(如甲醇、乙醇)等其他液體燃料的鍋爐,參照本標準中“燃油鍋爐”的污染排放控制;使用高爐煤氣、焦爐煤氣及其他氣體燃料的鍋爐,參照本標準中“燃氣鍋爐”的污染排放控制。
本標準不適用于以生活垃圾、危險廢物及其他非危險廢物為燃料的鍋爐。
本標準適用于在用鍋爐大氣污染物的排放管理,以及鍋爐建設項目的環境影響評價、環境保護設施設計、竣工環境保護驗收及其投產后的大氣污染物排放管理。
本標準適用于法律允許的污染物排放行為;新設立污染源的選址和特殊保護區域內現有污染源的管理,按照《中華人民共和國大氣污染防治法》、《中華人民共和國水污染防治法》、《中華人民共和國海洋環境保護法》、《中華人民共和國固體廢物污染環境防治法》、《中華人民共和國放射性污染防治法》、《中華人民共和國環境影響評價法》等法律、法規、規章的相關規定執行。
2、規范性引用文件
下列文件中的條款通過本標準的引用而成為本標準的條款。凡是不注日期的引用文件,其最新版本(包括修改單)適用于本文件。
GB3095環境空氣質量標準
GB5648鍋爐煙塵測試方法
GB13271鍋爐大氣污染物排放標準
GB/T16157固定污染源排氣中顆粒物測定與氣態污染物采樣方法
HJ/T42固定污染源排氣中氮氧化物的測定紫外分光光度法
HJ/T43固定污染源排氣中氮氧化物的測定鹽酸萘乙二胺分光光度法
HJ/T44固定污染源排氣中一氧化碳的測定非色散紅外吸收法
HJ/T56固定污染源排氣中二氧化硫的測定碘量法
HJ/T57固定污染源排氣中二氧化硫的測定定電位電解法
HJ/T75固定污染源煙氣排放連續監測技術規范(試行)
HJ/T76固定污染源煙氣排放連續監測系統技術要求及檢測方法(試行)
HJ/T373固定污染源監測質量保證與質量控制技術規范(試行)
HJ/T397固定源廢氣監測技術規范
HJ/T398固定污染源排放煙氣黑度的測定林格曼煙氣黑度圖法
HJ543固定污染源廢氣汞的測定冷原子吸收分光光度法
HJ629固定污染源廢氣二氧化硫的測定非分散紅外吸收法
HJ692固定污染源廢氣氮氧化物的測定非分散紅外吸收法
HJ693固定污染源廢氣氮氧化物的測定定電位電解法
HJ836固定污染源廢氣低密度顆粒物的測定重量法
DB13/T2376固定污染源廢氣顆粒物的測定β射線法
《污染源自動監控管理辦法》(國家環境保護總局令第28號)
《環境監測管理辦法》(國家環境保護總局令第39號)
3、術語和定義
下列術語和定義適用于本標準。
3.1鍋爐
利用燃料燃燒釋放的熱能或其他熱能加熱熱水或其他工質,以生產規定參數(溫度,壓力)和品質的蒸汽、熱水或其他工質的設備。
3.2在用鍋爐
本標準實施之日前,已建成投產或環境影響評價文件已通過審批的鍋爐。
3.3新建鍋爐
本標準實施之日起,環境影響評價文件通過審批的新建、改建和擴建的鍋爐。
3.4有機熱載體鍋爐
以有機質液體作為熱載體工質的鍋爐。
3.5標準狀態
鍋爐煙氣在溫度為273K,壓力為101325Pa時的狀態,簡稱“標態”。本標準規定的排放濃度均指標準狀態下干煙氣的數值。
3.6大氣污染物排放濃度
標準狀況下,煙囪干燥排氣中大氣污染物任何1h質量濃度平均值,單位為mg/m3。
3.7煙囪高度
從煙囪(或鍋爐房)所在的地平面至煙囪出口的高度。
3.8氧含量
燃料燃燒后,煙氣中含有的多余的自由氧,通常以干基容積百分數來表示。
4、大氣污染物排放控制要求
4.1 2019年11月1日起,在用鍋爐執行表1規定的大氣污染物排放限值;自本標準實施之日起,新建鍋爐執行表1規定的大氣污染物排放限值。
表1 大氣污染物排放濃度限值
單位:mg/m3(煙氣黑度除外)
|
污染物項目 |
燃煤鍋爐 |
燃油鍋爐 |
燃氣鍋爐 |
燃生物質 |
監控位置 |
|
顆粒物 |
10 |
5 |
5 |
10 |
煙囪或煙道 |
|
二氧化硫 |
35 |
10 |
10 |
35 |
|
|
氮氧化物(以NO2計) |
50 |
30 |
30 |
80 |
|
|
汞及其化合物 |
0.05 |
— |
— |
0.05 |
|
|
一氧化碳 |
|
|
|
200 |
|
|
煙氣林格曼黑度(級) |
≤1 |
煙囪排放口 |
|||
4.2 燃煤鍋爐配套堆場應采取封閉措施,燃煤鍋爐房無組織粉塵濃度執行表2的規定。
表2 燃煤鍋爐房無組織粉塵排放控制限值
單位: mg/m3
|
污染物項目 |
限值 |
|
無組織粉塵(監控點與上風向參照點濃度差值) |
0.2 |
4.3 每個燃煤鍋爐房只能設一根煙囪,煙囪高度應根據鍋爐房裝機總容量,按表3規定執行,燃油、燃氣鍋爐煙囪不低于8米,鍋爐煙囪的具體高度按批復的環境影響評價文件確定。新建鍋爐房的煙囪周圍半徑200米距離內有建筑物時,其煙囪還應高出最高建筑物3米以上。
表3 燃煤鍋爐房煙囪最低允許高度
|
鍋爐房裝機總容量 |
MW |
<0.7 |
0.7—<1.4 |
1.4—<2.8 |
2.8—<7 |
7—<14 |
≥14 |
|
t/h |
<1 |
1—<2 |
2—<4 |
4—<10 |
10—<20 |
≥20 |
|
|
煙囪最低允許高度 |
m |
20 |
25 |
30 |
35 |
40 |
45 |
4.4 脫硝設備的設計應采取必要措施確保反應物混合均勻,反應完全,減少有毒有害或可能對環境空氣質量造成直接或間接影響的大氣污染物排放。
采用選擇性催化還原(SCR)工藝的脫硝設備,氨逃逸質量濃度不應高于2.3mg/m3。
采用選擇性非催化還原(SNCR)工藝的脫硝設備,氨逃逸質量濃度不應高于7.6mg/m3。
4.5 不同時段建設的鍋爐,若采用混合方式排放煙氣,且選擇的監控位置只能監測混合煙氣中的大氣污染物濃度,應執行各個時段限值中最嚴格的排放限值。
5、污染物監測要求
5.1 污染物采樣與監測要求
5.1.1 鍋爐使用企業應按照有關法律和《環境監測管理辦法》等規定,建立企業監測制度,制定監測方案,對污染物排放狀況開展自行監測,保存原始監測記錄,并公布監測結果。
5.1.2 鍋爐使用企業應按照環境監測管理規定和技術規范的要求,設計、建設、維護永久性采樣口,采樣測試平臺。
5.1.3 對鍋爐使用企業排放廢氣的采樣,應根據監測污染物的種類,在規定的污染物排放監控位置進行,有廢氣處理設施的,應在該設施后監控。排氣筒中大氣污染物的監測按現行有關規定執行。
5.1.4 20t/h及以上蒸汽鍋爐、14MW及以上熱水鍋爐,以及環境保護主管部門確定的大氣污染物重點排污單位應安裝污染物排放自動監控設備,并與環保部門聯網,保證設備正產運行,按照有關法律和《污染源自動監控管理辦法》的規定執行。
5.1.5 對鍋爐大氣污染物的監測,應按照HJ/T373有關規定進行監測質量保證和質量控制。
5.1.6 鍋爐大氣污染物排放濃度的測定采用表4所列的方法標準。
表4 鍋爐大氣污染物濃度測定方法標準
|
序號 |
污染物項目 |
方法標準名稱 |
標準編號 |
|
1 |
顆粒物 |
鍋爐煙塵測試方法 |
GB 5468 |
|
固定污染源排氣中顆粒物測定與氣態污染物采樣方法 |
GB/T 16157 |
||
|
固定污染源廢氣 低濃度顆粒物測定 重量法 |
HJ836 |
||
|
固定污染源廢氣 顆粒物的測定 β射線法 |
DB13/T2376 |
||
|
2 |
煙氣黑度 |
固定污染源排放 煙氣黑度的測定 林格曼煙氣黑度圖法 |
HJ/T 398 |
|
3 |
二氧化硫 |
固定污染源排氣中二氧化硫的測定 碘量法 |
HJ/T 56 |
|
固定污染源排氣中二氧化硫的測定 定電位電解法 |
HJ/T 57 |
||
|
固定污染源廢氣 二氧化硫的測定 非分散紅外吸收法 |
HJ 629 |
||
|
4 |
氮氧化物 |
固定污染源排氣中氮氧化物的測定 紫外分光光度法 |
HJ/T 42 |
|
固定污染源排氣中氮氧化物的測定 鹽酸萘乙二胺分光光度法 |
HJ/T 43 |
||
|
固定污染源廢氣 氮氧化物的測定 非分散紅外吸收法 |
HJ 692 |
||
|
固定污染源排氣 氮氧化物的測定 定電位電解法 |
HJ 693 |
||
|
5 |
汞及其化合物 |
固定污染源廢氣 汞的測定 冷原子吸收分光光度法 |
HJ 543 |
|
6 |
無組織粉塵 |
環境空氣 總懸浮顆粒物的測定方法 重量法 大氣污染物無組織排放監測技術導則 |
GB/T15432 HJ/T 55 |
5.2 大氣污染物基準氧含量排放濃度折算方法
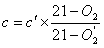
實測的鍋爐顆粒物、二氧化硫和氮氧化物排放濃度,必須按公式(1)折算為基準氧含量排放濃度。燃煤鍋爐的基準氧含量按表5的規定執行。
表5 基準氧含量
|
鍋爐類型 |
基準氧含量(O2)/% |
|
燃煤鍋爐 |
9 |
|
燃油、燃氣鍋爐 |
3.5 |
................................................................ (1)
式中:
c ——大氣污染物基準氧含量排放濃度,mg/m3;
c’ ——實測的大氣污染物排放濃度,mg/m3;
O’2——實測的氧含量,%;
O2 ——基準氧含量,%。
6、標準的實施與監督
6.1 本標準由縣級以上人民政府環境保護行政主管部門負責監督實施。
6.2 在任何情況下,企業均應遵守本標準的污染物排放控制要求,采取必要措施保證污染防治設施正常運行。各級環保部門在對企業進行監督性檢查時,可以現場即時采樣或監測結果,作為判定排污行為是否符合標準排放限值以及實施相關環境保護管理措施的依據。
6.3 本標準發布之日后,新制定或新修訂的國家或地方(綜合或行業)大氣污染物排放標準中,污染物排放限值嚴于本標準的,按照從嚴要求的原則,執行相應的排放標準。
(來源:河北環保廳)



